King-Pharm Focus on CMO & CDMO
  • AboutUs
  • Contact

Chiral(L)

 1459206-66-6
1459206-66-6
81285542
L-Alanine, N-acetyl-L-α-glutamyl-L-α-glutamyl-L-methionyl-L-glutaminyl-L-arginyl-L-arginyl-
 906480-09-9
906480-09-9
81366376
L-Cysteine, L-threonyl-L-phenylalanyl-L-phenylalanyl-L-tyrosylglycylglycyl-L-seryl-L-arginylglycyl-L-lysyl-L-arginyl-L-asparaginyl-L-asparaginyl-L-phenylalanyl-L-lysyl-L-threonyl-L-α-glutamyl-L-α-glutamyl-L-tyrosyl-
 309247-50-5
309247-50-5
81366374
L-Cysteine, glycyl-L-prolyl-L-lysyl-L-threonyl-L-prolyl-L-α-glutamyl-L-α-glutamyl-L-lysyl-L-threonyl-L-alanyl-L-asparaginyl-L-threonyl-L-isoleucyl-L-seryl-L-lysyl-L-phenylalanyl-L-α-aspartyl-
 2243206-99-5
2243206-99-5
81366371
L-Alanine, glycylglycyl-L-alanyl-L-valyl-L-valyl-L-threonylglycyl-L-valyl-L-threonyl-L-alanyl-L-valyl-
 237392-84-6
237392-84-6
81366369
Glycine, L-tyrosylglycyl-L-arginyl-L-lysyl-L-lysyl-L-arginyl-L-arginyl-L-glutaminyl-L-arginyl-L-arginyl-L-arginylglycyl-L-prolyl-L-valyl-L-lysyl-L-arginyl-L-arginyl-L-leucyl-L-phenylalanyl-
 1774344-28-3
1774344-28-3
81366363
L-Cysteine, L-arginyl-L-alanyl-L-cysteinyl-L-arginyl-L-phenylalanyl-L-phenylalanyl-
 138250-62-1
138250-62-1
81366358
L-Leucine, N2-acetyl-L-glutaminyl-L-lysyl-L-arginyl-L-prolyl-L-seryl-L-glutaminyl-L-arginyl-L-seryl-L-lysyl-L-tyrosyl-
 371131-16-7
371131-16-7
81366357
L-Phenylalaninamide, N2-(1-oxohexadecyl)-L-lysyl-L-lysyl-L-seryl-L-arginyl-L-alanyl-L-leucyl-
 344618-30-0
344618-30-0
81366356
L-Proline, L-threonyl-L-histidyl-L-arginyl-L-prolyl-L-prolyl-L-methionyl-L-tryptophyl-L-seryl-L-prolyl-L-valyl-L-tryptophyl-
 289042-25-7
289042-25-7
81316246
L-Alaninamide, N2-acetyl-L-arginyl-L-alanyl-L-α-aspartyl-L-alanyl-L-arginyl-L-alanyl-L-α-aspartyl-L-alanyl-L-arginyl-L-alanyl-L-α-aspartyl-L-alanyl-L-arginyl-L-alanyl-L-α-aspartyl-
 182153-96-4
182153-96-4
549595
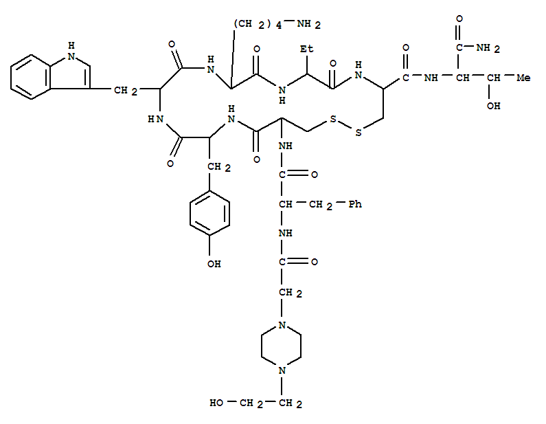
L-Threoninamide, N-[2-[4-(2-hydroxyethyl)-1-piperazinyl]acetyl]-D-phenylalanyl-L-cysteinyl-L-tyrosyl-D-tryptophyl-L-lysyl-(2S)-2-aminobutanoyl-L-cysteinyl-, cyclic (2→7)-disulfide
 147450-30-4
147450-30-4
81366350
L-Serine, L-seryl-L-seryl-L-lysyl-L-arginylglycyl-L-arginyl-L-glutaminyl-L-threonyl-L-prolyl-L-valyl-L-leucyl-L-tyrosyl-L-alanyl-L-methionyl-L-leucyl-L-α-aspartyl-L-histidyl-L-seryl-L-arginyl-
  1. 2026-03-06 Best Quality,Adequate Stock.Supply advanced organic chemicals such as chiral,threoninamide,hydroxyethyl,piperazinyl,acetyl,phenylalanyl
  • «
  • »
Contact Us
Email
info@king-pharm.com
Mobile
+86 18136843696
Telephone
+86 25 58748998
QQ
3461339351
WhatsApp
+86 18136843696
Skype
live:.cid.6d3c4ae5f7de0a26
Order Table
Email
info@king-pharm.com
Social Media
King-Pharm QR Code
Serving Advanced Chemicals to Global Customers
© 2009 - 2026   SACTG | King-Pharm Ver 1.0